It is a type of data structure where the data elements are not arranged linearly or sequentially. These are multilevel data structures. Here, data components are exist at several levels. Elements of non-linear data structures are stores and accessed in non-linear order.
In a non-linear data structure, data elements aren’t structured sequentially. Because the elements are not stored sequentially, they cannot be traversed or retrieved in a single run. Non-linear data structure is not very easy to implement as compared to the linear data structure
Examples
of non-linear data structure are: Tree
and Graph
TREE:
The tree is a non-linear data structure that is made up of various nodes. The nodes in the tree data system are set up in hierarchical order.
A tree data structure is made up of nodes that are linked together. It is a nonlinear hierarchical data structure that consists of nodes connected by edges.
A tree has the
following properties:
1. The tree has one node called root. The tree originates
from this, and hence it does not have any parent.
2. Each node has one parent only but can have multiple
children.
3. Each node is connected to its children via edges.
Representation of Tree:
In computer science the conventional way of
representing a tree is upside down i.e., the root of the tree is at the top and
the branches are in the downward direction.
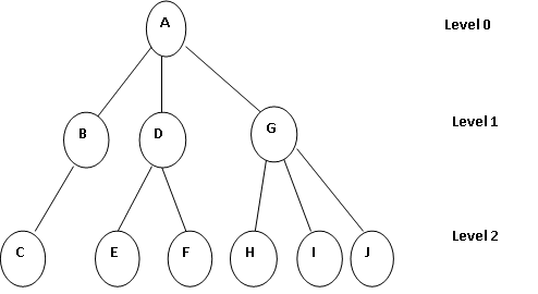
Figure: A General Tree
Here the root of the tree is A. There are three subtrees of the root A, with roots B,D and G. The root B has one subtree. The root C has empty subtree. The root D and G have two and three subtrees respectively. The nodes (except root) having no subtrees are called leafs or terminal nodes.
In the above tree, C,E,F,H,I,J are the leaf nodes or terminal nodes. Any node (except the root and leafs) is called non-terminal node. Here, B,D and G are the non-terminal nodes. The node having at least a child node is called an internal node. G is an internal node.
Level of a
Node: The
level of a node is equal to the length of the path from the root to the node. The root of
the tree has level=0.
For example, in above tree the levels are:
Level of A=0
Level of B,D,G=1
Level of C,E,F,H,I,J=2
Degree of a
node: The
degree of a node is the number of children it has. The degree of a leaf is 0.
For example in above tree the degree of node D is 2.
Degree of a
tree: The degree of a
tree is the maximum of its node degrees. The degree of tree in above figure is
3.
Height/Depth
of a tree: If
level of the root is denoted by 0, then
Height/Depth of tree =1+ maximum levels of
all nodes in the tree
The height/depth of tree given in above
figure is 3.
Parent and
child relationship: In
above tree, the node A is parent of B, D and G.
B, D and G are called children of A.
The children nodes of a given parent node are
called siblings or brothers.
Ancestor of a
Node: Any predecessor nodes on the path
of the root to that node are called Ancestors of that node. For example, in the
above tree A and D are the ancestor of E.
Descendant: Any successor node on the path from the leaf node to
that node. B,C are the descendants of the node A.
More Tree Terminology:
- The depth of a node is the number of edges from the
root to the node.
- The height of a node is the number of edges from the
node to the deepest leaf.
- The height of a tree is a height of the root.
- A full binary tree is a binary tree in which each node
has exactly zero or two children.
- A complete binary tree is a binary tree, which is
completely filled, with the possible exception of the bottom level, which
is filled from left to right.
Advantages of Trees:
Trees are so useful and
frequently used, because they have some very serious advantages:
- Trees reflect structural relationships in the data
- Trees are used to represent hierarchies
- Trees provide an efficient insertion and searching
- Trees are very flexible data, allowing to move subtrees
around with minimum effort
Binary Tree:
A binary tree is a hierarchal data structure in which each node has at most two children. The Binary tree means that the node can have maximum two children. Here, binary name itself suggests that 'two'; therefore, each node can have either 0, 1 or 2 children.
A binary tree is simply a tree in which each node can have at most two children. A binary tree is made of nodes, where each node contains a "left" reference, a "right" reference, and a data element. The topmost node in the tree is called the root.
A tree is called a binary tree if it has a finite set of nodes that is either empty or consists of a root and two disjoint subsets, each of which itself is a binary tree. The two subsets are called the left subtree and the right subtree of the original tree.
Binary trees are different from general
trees. A binary tree has left and right subtrees, whereas, in general trees
there is no left or right subtree.
Properties of Binary Tree:
1. Every binary tree with n elements (n>0), has exactly n-1 edges.
2.
A binary tree of height h (h>=0),
has at least h and at most 2h -1 elements in it.
3. A binary tree can have a maximum of 2l nodes at level l if the level of the root is zero.
4. The height of a binary tree that
contains n elements (n>=0), is at most n, at least log2(n+1)
5. In a binary tree with n nodes, minimum possible height or
minimum numbers of levels are log2(n+1).
6. A binary tree with ‘L’ leaves has at least log2(L+1)
number of levels.
7. If a binary tree has 0 or 2 children, then
number of leaf nodes are always one more than nodes with two children.
Types of Binary Tree:
There are various types of binary trees, and each of these binary tree types has unique characteristics.
1. Full Binary Tree: The full binary tree is also known as a strict binary
tree. A binary tree is said to be a full
binary tree when each node has zero or two children. We can say it is a
binary tree in which all nodes except leaf nodes have two children.
2. Complete
Binary Tree: A binary tree is referred to as a complete binary tree when all of its levels are completely filled
except the lowest level of the tree. Also, in the last or
the lowest level of this binary tree, every nodes should possibly reside on the
left side.
3. Perfect Binary Tree: A perfect binary tree is a special type of binary tree in which all the internal nodes have two children and every external or leaf node is at the same level.
4. Balanced Binary Tree: A balanced binary tree also referred to as a height-balanced binary tree is also a special type of binary tree in which the difference of height between the left and the right subtrees for each node is at most one.
The above tree is a balanced binary tree because the
difference between the left subtree and right subtree is not greater than 1.
5. Degenerate or Pathological Tree: A
degenerate or pathological tree is a type of binary tree in which each
internal node has a single child, either the left child or the right
child.
6. Skewed Binary Tree: A binary tree is said to be a skewed binary tree if all of its internal nodes have exactly one child, and either left children or right children dominate the tree.
There exist two types of skewed binary trees: left-skewed binary tree and the right-skewed binary tree.
Problem-1:
How many binary tree can be created with 3 nodes?
a. 5
b.
6
c.
7
d.
None of the above
Solution:
A binary tree with 3 nodes ( n=3) , will have a maximum combination of 5 different trees.
Problem-2:
Total
number of nodes in the nth
level of a binary tree is given by
a. 2n
b.
2n-1
c.
2n+1
d.
2n
Problem-3:
Maximum total number of nodes in a binary tree that has n levels
a.
2n
b. 2n-1
c.
2n+1
d.
2n
Binary Search Tree:
Binary Search Tree is a special kind of binary tree in which nodes are arranged in a specific order. In binary search tree, the value of left node must be smaller than the parent node, and the value of right node must be greater than the parent node. This rule is applied recursively to the left and right subtrees of the root.
A binary search tree relies on the property that keys that are less than the parent are found in the left subtree, and keys that are greater than the parent are found in the right subtree.
A binary search tree is a binary tree that may be empty. A non-empty binary search tree satisfies the following properties:
- Every element has a key (or value) and no two elements have the same key; therefore all keys are distinct.
- The keys (if any) in the left subtree are smaller than the key in the root.
- The keys (if any) in the right subtree are larger than the key in the root.
- The left and right subtrees of the root are also binary search trees.
Example of a Binary Search Tree:
In the above figure, we can observe that the value of root node is 40, and the values of all nodes of the left subtree are smaller than the root node value, and the values of all nodes of the right subtree are greater than the root node value.
Binary Search Tree Construction:
Example:
Construct a Binary Search Tree
(BST) for the following sequence of numbers-
50, 70,
60, 20, 90, 10, 40, 100
When elements are given in the sequence,
- Always consider the first element as the root node
- Consider the given elements and insert in the BST one by one
The binary search tree will be constructed as explained below:
Insert
50:
· As 70 > 50, so
insert 70 to the right of 50.
· As 60 > 50, so
insert 60 to the right of 50.
· As 60 < 70, so
insert 60 to the left of 70.
Insert 20:
· As 20 < 50, so
insert 20 to the left of 50.
Insert 90:
· As 90 > 50, so
insert 90 to the right of 50.
· As 90 > 70, so
insert 90 to the right of 70.
Insert 10:
· As 10 < 50, so
insert 10 to the left of 50.
· As 10 < 20, so
insert 10 to the left of 20.
Insert 40:
· As 40 < 50, so
insert 40 to the left of 50.
· As 40 > 20, so
insert 40 to the right of 20.
Insert 100:
· As 100 > 50, so insert
100 to the right of 50.
· As 100 > 70, so
insert 100 to the right of 70.
· As 100 > 90, so
insert 100 to the right of 90.
Now, the creation of binary search tree is completed.
PRACTICE PROBLEMS
Problem-1: Construct a
binary search tree for the following sequence of numbers:
7, 4, 12, 3, 6, 8, 1, 5, 10
Solution:
Insert 4:
· As 4<7, so insert 4 to the left of 7
Insert 12:
· As 12>7, so insert 12 to the right of 7
Insert 3:
· As 3<7, so insert 3 to the left of 7
· As 3<4, so insert 3 to the left of 4
Insert 6:
· As 6<7, so insert 6 to the left of 7
· As 6>4, so insert 6 to the right of 4
· As 8>7, so insert 8 to the right of 7
· As 8<12, so insert 8 to the left of 12
Insert 1:
· As 1<7, so insert 1 to the left of 7
· As 1<4, so insert 1 to the left of 4
· As 1<3, so insert 1 to the left of 3
Insert 5:
· As 5<7, so insert 5 to the left of 7
· As 5>4, so insert 5 to the right of 4
· As 5<6, so insert 5 to the left of 6
Insert 10:
· As 10>7, so insert 10 to the right of 7
· As 10<12, so insert 10 to the left of 12
· As 10>8, so insert 10 to the right of 8
Now, the construction of binary search tree is completed.
Problem-2: Create Binary Search Tree for the following sequence of
numbers:
45, 15, 79, 90, 10, 55, 12, 20, 50
Solution:
Insert 45:
Insert 15
· As 15 <45,
so insert 15 to the left of 45
Insert 79
· As 79 >45,
so insert 79 to the right of 45
Insert 90
· As 90 >45,
so insert 90 to the right of 45
· As 90 > 79,
so insert 90 to the right of 79
· As 10 < 45,
so insert 10 to the left of 45
· As 10 < 15, so insert 10 to the left of 15
Insert 55
· As 55 >45,
so insert 55 to the right of 45
· As 55 <79, so insert 55 to the left of 79
Insert 12
· As 12 < 45, so insert 12 to the left of 45
· As 12 < 15, so insert 12 to the left of 15
· As 12 > 10, so insert 12 to the right of 10
Insert 20
· As 20 < 45, so insert 20 to the left of 45
· As 20 >15, so insert 20 to the right of 15
Insert 50
· As 50> 45, so insert 20 to the left of 45
· As 20 >15, so insert 20 to the right of 15
Now, the creation of binary search tree is completed.
Problem-3: A Binary search tree is constructed by
inserting the following number in order:
60, 25, 72, 15, 30, 68, 101, 13, 18, 47, 70, 34
The number of nodes is the
left subtree is:
a. 7
b.
6
c.
3
d.
5
· As 25<60, so insert 25 to the left of 60
Insert 72
· As 72> 60, so insert 72 to the right of 60
Insert
15:
· As 15<60, so insert 15 to the left of 60
· As 15 <25, so insert 15 to the left of 25
Insert 30
· As 30<60, so insert 30 to the left of 60 · As 30 >25, so insert 30 to the right of 25 |
|
Insert 68:
· As 68>60, so insert 68 to the right of 60
· As 68 <72, so insert 68 to the left of 72
Insert 101:
· As 101>60, so insert 101 to the right of 60
· As 101>72, so insert 101 to the right of 72
Insert 13:
· As 13<60, so insert 13 to the left of 60
· As 13<25, so insert 13 to the left of 25
· As 13<15, so insert 13 to the left of 15
Insert 18:
· As 18<60, so insert 18 to the left of 60
· As 18<25, so insert 18 to the left of 25
· As 18>15, so insert 18 to the right of 15
Insert 47:
· As 47<60, so insert 47 to the left of 60
· As 47>25, so insert 47 to the right of 25
· As 47>30, so insert 47 to the right of 30
· As 70>60, so insert 70 to the right of 60
· As 70<72, so insert 70 to the left of 72
· As 70>68, so insert 70 to the right of 68
Insert 34:
· As 34<60, so insert 34 to the left of 60
· As 34>25, so insert 34 to the right of 25
· As 34>30, so insert 34 to the right of 30
· As 34<47, so insert 34 to the left of 47
Number of nodes in the left subtree of the root = 7
Problem-4:
A binary search tree is generated by inserting in order of the
following integers-
50, 15, 62, 5, 20, 58, 91, 3, 8, 37, 60, 24
The number of nodes in the left subtree and
right subtree of the root respectively is _________________.
a. (4, 7)
b. (7, 4)
c. (8,3)
d. (3,8)
Solution:
The Binary Search Tree will be:
· Number of nodes in the
left subtree of the root = 7
· Number of nodes in the
right subtree of the root = 4
Problem-4:
How many distinct binary search trees can be
constructed out of 4 distinct keys?
a.
5
b.
14
c.
24
d.
35
Solution:
Number of distinct binary search trees possible with 4 distinct keys
= 2nCn /
n+1
= 2×4C4 /
4+1
= 8C4 /
5
= 14
Thus, Option (B) is correct.
Problem-5:
Consider
the following binary search tree T:
Draw the resulting binary search tree if the following
operation is performed to the tree T;
(i) Insert element 11 in T
(ii) Insert element 16 in T
(iii) Insert element 12 in T
(iv) Delete element 14 from T
Solution:
(i) Insert 11
(ii) Insert 16
(iii) Insert 12
(iv) Delete
14
Tree Traversal Methods:
A traversal is a process that visits all the nodes in the tree. The term 'tree traversal' means traversing or visiting each node in the tree exactly once and performing some operations on it. There are three ways which we use to traverse a tree –
- Pre-order Traversal
- In-order Traversal
- Post-order Traversal
Pre-order
Traversal: In this traversal method,
the root node is visited first, then the left subtree and finally the right
subtree. As the root node is traversed before (or pre) the left and
right subtree, it is called preorder traversal.
1. Visit the root.
2. Traverse the left subtree
3. Traverse the right subtree
In-order Traversal: In this
traversal method, the left subtree is visited first, then the root and later
the right sub-tree. As the root node is traversed between the left
and right subtree, it is named in-order traversal.
If a binary tree is traversed in-order, the output will produce sorted key values in an ascending order.
1. Traverse the left subtree.
2. Visit the root.
3. Traverse the right subtree.
Post-order Traversal: In this traversal method the left subtree is visited first, then the right subtree and finally the root node. As the root node is traversed after (or post) the left and right subtree, it is called post order traversal.
1. Traverse the left subtree.
2. Traverse the right subtree.
3. Visit the root.
Example: 1
Pre-order: 3, 9, 20, 15, 7
In-order: 9, 3, 15, 20, 7
Post-order: 9, 15, 7, 20, 3
Example: 2
Pre-order: A, B, D, E, C, F, G
In-order: D, B, E, A, F, C, G
Post-order: D, E, B, F, G, C, A
Pre-order: 100, 20, 10, 30, 200, 150, 300
In-order: 10, 20, 30, 100, 150, 200, 300
Post-order: 10, 30, 20, 150, 300, 20, 100
Example: 4
Pre-order: - + A * B C * D E
In-order: A + B * C – D * E
Post-order: AB C * + D E * -
Example: 5
In-order: ABCDEFGHI
Post-order: ACEDBHIGF
Pre-order: 8, 5, 9, 7, 1, 12, 2, 4, 11, 3
In-order: 9, 5, 1, 7, 2, 12, 8, 4, 3, 11
Post-order: 9, 1, 2, 12, 7, 5, 3, 11, 4, 8
Example: 7
Pre-order: 25, 15, 10, 4, 12, 22, 18, 24, 50, 35, 31, 44,
70, 66, 90
In-order: 4, 10, 12, 15, 18, 22, 24, 25, 31, 35, 44, 50,
66, 70, 90
Post-order: 4, 12, 10, 18, 24, 22, 15, 31, 44, 35, 66, 90,
70, 50, 25
Example: 8
Preorder:
ABDGCEHIF
Inorder:
DGBAHEICF
Postorder:
GDBHIEFCA
Example:
9
Preorder:
ABCEIFJDGHKL
Inorder:
EICFJBGDKHLA
Postorder:
IEJFCGKLHDBA
Construct a Tree
from given Inorder and Preorder Traversals:
Inorder traversal is a special traversal that helps us to identify a node and its left and right subtree. Preorder traversal always gives us the root node as the first element. Using these properties we can construct the unique binary tree.
Inorder
sequence: D B E A F C
Preorder
sequence: A B D E C F
In a Preorder sequence, the leftmost element is the root of the tree. So we know ‘A’ is the root for given sequences. By searching ‘A’ in the Inorder sequence, we can find out all elements on the left side of ‘A’ is in the left subtree and elements on right side of 'A' in the right subtree. So we get the below structure now.
Step: 1
We recursively follow the above steps and get the following tree.
Step: 2
Example-2:
Inorder:
40, 20, 50, 10, 60, 30
Preorder:
10, 20, 40, 50, 30, 60
Step-1:
Here 10 (first element of preorder) is the root element. So we can find its index in the inorder traversal. The left subtree of the root will be present to the left side of in order whereas the right subtree of root will be present on the right side of root element in the inorder traversal.
Step: 2
Step-3:
Example-3:
Inorder Traversal: 4, 2, 1, 7, 5, 8, 3, 6
Preorder Traversal: 1, 2, 4, 3, 5, 7, 8, 6
Root node would
be the first item in the preorder sequence, and find the left and right subtree
in the inorder sequence. To find left and right subtree, search for the
index of the root node in the inorder sequence. All keys before the root node
in the inorder sequence become part of the left subtree, and all keys after the
root node become part of the right subtree. We repeat this recursively for all nodes in
the tree and construct the tree.
Step: 1
The root will
be the first element in the preorder sequence, i.e., 1. Next, search the index of the root node in the
inorder sequence. Since 1 is the root node, all nodes before 1 in the inorder sequence must be included in
the left subtree, i.e., 4, 2 and all the nodes after 1 must be included in the right subtree, i.e., 7, 5, 8, 3, 6.
Now,
we recursively follow the above steps and get the binary tree:
Step: 2
Step: 3
Problem:
For a binary tree T, the pre-order and in-order traversal
sequences are as follows:
Pre-order: A B
D E G H C F
In-order: D B
G E H A C F
Draw the binary tree T.
Solution:
Step-1:
The root will be the
first element in the preorder sequence, i.e., A. Next, search the index of the root node
in the inorder sequence. Since A is the root node, all nodes
before A in
the inorder sequence must be included in the left subtree, i.e., D, B,G, E , H and
all the nodes after A must be included in the right
subtree, i.e., C, F.
A. Next, search the index of the root node
in the inorder sequence. Since A is the root node, all nodes
before A in
the inorder sequence must be included in the left subtree, i.e., D, B,G, E , H and
all the nodes after A must be included in the right
subtree, i.e., C, F.Step-2:
Now,
we recursively follow the above steps and get the binary tree:
Step-3:
Problem:
For a binary tree T, the pre-order and
in-order traversal sequences are as follows:
Pre-order: G B Q A C K F P D E R H
In-order: Q B K C F A G P E D H R
(a) What is the
height of the tree?
(b) What are the
internal nodes?
(c) What is its
post-order traversal sequence?
Solution:
Step-1:
The root will be the first element in the
preorder sequence,i.e., G. Next,
search the index of the root node in the inorder sequence. Since G is the root node, all nodes
before G in
the inorder sequence must be included in the left subtree, i.e., Q, B,K, C , F, A and
all the nodes after G must
be included in the right subtree, i.e., P, E, D, H, R.
Step-2:
Now, we recursively
follow the above steps and get the binary tree:
Step-3:
(a) The
height of the tree is : 5
(b)The
internal nodes are: B, A, C, P, D, R
(c) Postorder: QKFCABEHRDPG
Construct Binary Tree from given In-order and Post order
Traversals:
Example-1:
In-order:
40 20 50
10 30 60
Post-order:
40 50
20 60 30 10
Step-1:
We first find
the last node in postorder traversal. The last node is 10 , we know this value
is root as root always appear in the end of postorder traversal.
We search 10 in
inorder traversal to find left and right subtrees of root. Everything on left
of 10 in inorder taversal is in left subtree and everything on right is in
right subtree.
Step-2:
Example-2:
In-order: 10
30 40 50 60 70 90
Post-order: 10 40 30 60 90 70 50
Step-1:
We first find
the last node in postorder traversal. The last node is 50 , we know this value
is root as root always appear in the end of postorder traversal.
We search 50 in
inorder traversal to find left and right subtrees of root. Everything on left
of 50 in inorder taversal is in left subtree and everything on right is in
right subtree.
Step-2:
Problem:
The
in order and post order traversal of a binary tree are as follows:
In
order: n1, n2, n3, n4, n5, n6, n7, n8, n9
Post-order:
n1,
n3, n5, n4, n2, n8, n7, n9, n6
Construct
the binary tree.
Solution:
Step-1:
Step-2:
Problem:
For
a binary tree T, the in-order and post-order traversal sequences are as
follows:
In-order:
D B F E A G C L J H K
Post-order:
D F E B G L J K H C A
Draw
the binary tree T.
Solution:
Step-1:
We first find
the last node in postorder traversal. The last node is A, we know this value is root as root always appear in the end of postorder
traversal.
We search A in inorder traversal to find left and
right subtrees of root. Everything on left of A in inorder taversal is in left subtree and everything on right of
A is in right subtree.
Step-2:
Step-3:
Step-4:
AVL
TREE:
An AVL( Adelson-Velskii and Landis) tree is a type of binary search tree. AVL trees are Self Balanced binary search trees named after its inventors, Adelson-Velskii and Landis.
It is a balanced binary search tree. In AVL tree, the balance factor of every node is either -1 or 0 or 1. The balance factor of a node is the difference between the heights of the left and right subtrees of that node.
AVL tree is a
height-balanced binary search tree. That means, an AVL tree is also
a binary search tree but it is a balanced tree. AVL trees use balance
factor to get a balanced tree. Balance factor of any node is defined as height(left subtree) -
height(right subtree).
· AVL Trees are Self-Balanced Binary Search Trees.
· In AVL trees, the balancing factor of each
node is either 0 or
1 or -1.
· Balance Factor of AVL Tree calculated
as = Height of Left
Sub-tree - Height of Right Sub-tree
Question: What is AVL tree? Construct an AVL tree with the following elements and perform necessary rotation if unbalance occurs while inserting the element.
8, 6, 10, 4, 7, 9, 11, 3, 5, 2
Ans:
An AVL tree is a type of binary search tree. It
is a balanced binary search tree. In AVL tree, the balance factor of every node
is either -1 or 0 or 1. The balance factor of a node is the difference between
the heights of the left and right subtrees of that node.
AVL tree is a
height-balanced binary search tree. That means, an AVL tree is also
a binary search tree but it is a balanced tree. AVL trees are Self
Balanced binary search trees named after its inventors,
Adelson-Velskii and Landis.
· AVL
Trees are Self-Balanced
Binary Search Trees.
· In
AVL trees, the balancing factor of each node is either 0 or 1 or -1.
· Balance Factor of AVL Tree calculated
as = Height of Left
Sub-tree - Height of Right Sub-tree
Construction of AVL Tree:
· Insertion Operation is performed to construct the AVL Tree.
· Inserting the element in the AVL tree is same as the insertion
performed in BST.
· After insertion, check the balance factor of each node of the
resulting tree.
o After
the insertion, the balance factor of each node is either 0 or 1 or -1, then
the tree is considered to be balanced, concludes the operation,
and inserts the next element if any.
o After
the insertion, if the balance factor of at least one node is not 0 or 1 or -1, then
the tree is considered to be imbalanced, perform the suitable rotation to
balance the tree, and after the tree is balanced, insert the next element if
any.
Step-1:
Insert 8
Step-2: Insert 6
Step-3: Insert 10
Step-5:
Insert 7
Step-6:
Insert 9
Step-7: Insert 11
Step-8: Insert 3
Step-10:
Insert 2
This is not balanced. Need a rotation







































































































0 Comments
if you have any doubts plz let me know...